1. Forum
  2. Kalender
    1. Anstehende Termine
  3. Regeln
  4. Guides
  5. Changelog
  6. Servermap
  7. Voten
  8. Premium
  9. Dashboard
  10. Mitglieder
    1. Letzte Aktivitäten
    2. Benutzer online
    3. Team
    4. Mitgliedersuche
  • Anmelden
  • Registrieren
  • Suche
Dieses Thema
  • Alles
  • Dieses Thema
  • Dieses Forum
  • Seiten
  • Forum
  • Termine
  • Lexikon
  • Erweiterte Suche
  1. Forum
  2. Kalender
    1. Anstehende Termine
  3. Regeln
  4. Guides
  5. Changelog
  6. Servermap
  7. Voten
  8. Premium
  9. Dashboard
  10. Mitglieder
    1. Letzte Aktivitäten
    2. Benutzer online
    3. Team
    4. Mitgliedersuche
  1. Forum
  2. Kalender
    1. Anstehende Termine
  3. Regeln
  4. Guides
  5. Changelog
  6. Servermap
  7. Voten
  8. Premium
  9. Dashboard
  10. Mitglieder
    1. Letzte Aktivitäten
    2. Benutzer online
    3. Team
    4. Mitgliedersuche
  1. AyoCraft.de - Der Minecraft Server
  2. Community
  3. Ankündigungen
  • Menü
  • Menü
  • Seitenleiste
  • Seitenleiste
  1. Forum
  2. Kalender
    1. Anstehende Termine
  3. Regeln
  4. Guides
  5. Changelog
  6. Servermap
  7. Voten
  8. Premium
  9. Dashboard
  10. Mitglieder
    1. Letzte Aktivitäten
    2. Benutzer online
    3. Team
    4. Mitgliedersuche

AyoPatch Notes

  • Soulseller
  • 14. Oktober 2025 um 15:00
1. offizieller Beitrag
  • Online
    Soulseller
    Admin
    Reaktionen
    1.787
    Beiträge
    2.900
    Einträge
    30
    • 14. Oktober 2025 um 15:00
    • Offizieller Beitrag
    • #1

    🎉 Große Server-Updates: Wirtschaftsänderungen & BetterHorses Plugin!

    Liebe Ayocraft-Community,

    wir freuen uns, euch zwei spannende Updates für unseren Server vorstellen zu können!

    💰 Änderungen in der Wirtschaft

    Unser Wirtschaftssystem hat wichtige Updates erhalten, die das Spielerlebnis noch ausgewogener und fairer gestalten. Die neuen Änderungen betreffen verschiedene Aspekte bei der Jobs, bezüglich XP aber auch Loot von Items. Genaueres dazu findet ihr hier.

    🐴 Neu: BetterHorses Plugin - Revolutionäre Pferdezucht!

    Ab sofort ist unser neues BetterHorses Plugin verfügbar, das die langweiligen Vanilla-Pferde durch ein vollständig überarbeitetes Zuchtsystem ersetzt!

    ✨ Neue Features:

    🧬 Genetik & Züchtung:

    • Pferde vererben jetzt realistische Geschwindigkeit, Sprungkraft und Lebenspunkte an ihre Nachkommen
    • Spannende Mutationen können während der Zucht auftreten und einzigartige Eigenschaften verleihen, welche mit dem Key für die Offhand benutzt werden können.
    • Züchtet über mehrere Generationen hinweg eure perfekte Pferdelinie

    📦 Praktisches Pferde-Management:

    • /horse despawn - Verwandelt euer Pferd in ein Goldenes Pferderüstungs-Item, während ihr darauf sitzt
    • Das Item zeigt alle wichtigen Statistiken eures Pferdes an
    • Einfacher Rechtsklick spawnt das Pferd aus dem Item zurück in die Welt
    • Perfekt für den Transport und Handel mit anderen Spielern

    🎯 Vorteile des neuen Systems:

    • Sammelbare Pferde: Verwandelt eure besten Pferde in Items und baut eine Sammlung auf
    • Handelbares Gut: Tauscht seltene Pferde mit anderen Spielern
    • Genetische Vielfalt: Jedes Pferd ist einzigartig durch das Vererbungssystem

    Das Plugin ist ab sofort aktiv und wartet darauf, von euch entdeckt zu werden. Startet eure Zucht und erschafft die legendärsten Pferde des Servers!


    Viel Spaß beim Züchten und Handeln!
    Das Ayocraft-Team

    Bei Fragen oder Problemen wendet euch gerne an unser Team im Discord oder über das Ticket-System.

    Mööö

    Bedarf keiner erklärung.
    Wer es kennt, kennt es und wer nicht, der nicht.

  • Chreedy
    Newbie
    Reaktionen
    57
    Beiträge
    45
    • 15. Oktober 2025 um 03:26
    • #2

    Das Pferdeplugin gefällt mir erstaunlicherweise sehr gut. Es bockt zu schauen wie man das bestmögliche Pferdchen heran züchtet. Das Ausprobieren wie die Mechaniken des Plugins funktionieren ist auch interessant oder wie man sich mit anderen Spielern zusammen schließen kann um ein noch krasseres Pferd zu kreuzen find ich cool.


    Echt ein schönes Quality of Life Plugin.

  • SirGahaad
    Raider
    Reaktionen
    307
    Beiträge
    280
    • 16. Oktober 2025 um 19:19
    • #3

    my little Pony 8)

    Bisher verstehe ich nix ....

    Stein auf Stein, Stein auf Stein .... meine Welt wird wohl nie fertig sein ....

  • TheHunter
    Newbie
    Reaktionen
    10
    Beiträge
    13
    • 16. Oktober 2025 um 21:58
    • #4

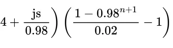
    Da die Traits der Pferde im Plugin etwas abstrakt sind, bzw. die internen Systemattribute verwenden habe ich mal kurz nachgeschaut, zu welchen relevanten Werten diese korrespondieren. Sollte es noch jemanden interessieren:

    -> Der Geschwindigkeitswert sollte einfach mit Faktor 42.16 zu der Geschwindigkeit in Blöcken/Sekunde skalieren.

    -> Der Sprungkraftwert ist komplizierter, da hier das interne Attribut etwas abstrakt ist (vertikale Geschwindigkeit in Blöcke/Tick beim Absprung). Ich habe hier mal ein paar interessante Breakpoints für die letztendliche Sprunghöhe ausgerechnet:

    Sprunghöhe (in Blöcken)Sprungkraft (Minimum)
    10.3681
    20.5449
    30.6848
    40.8032
    50.9097
    61.0075
    71.0987

    Die Werte sind auf Basis einer Formel die ich hier gefunden habe, sehen aber nach ein paar Tests bis jetzt in Ordnung aus.

    Wen es genauer interessiert: Die Sprunghöhe sollte sich demnach über

    mit Sprungstärke js und

    berechnen lassen.

Jetzt mitmachen!

Du hast noch kein Benutzerkonto auf unserer Seite? Registriere dich kostenlos und nimm an unserer Community teil!

Benutzerkonto erstellen Anmelden
Discord: ayo.gg/discord

Minecraft: mc.ayocraft.de

Letzte Beiträge

  • AyoPatch Notes

    TheHunter 16. Oktober 2025 um 21:58
  • Halloween Bauevent 2025

    MangoHyuk 16. Oktober 2025 um 20:21
  • Wirtschaftsänderungen 2025

    Glibbor 14. Oktober 2025 um 15:00
  • Gibt es noch ein Markt für Voteboxen ?

    SirGahaad 12. Oktober 2025 um 15:34
  • Shop 16 - Kombo Shops

    SirGahaad 8. Oktober 2025 um 18:57

Heiße Themen

  • Wirtschaftsänderungen 2025

    28 Antworten, Vor einem Monat
  • Das nächste Kapitel: Wichtige Anpassungen 2025

    32 Antworten, Vor einem Monat
  • Ayo NextLevel 2025 - Patchnotes

    13 Antworten, Vor einem Monat
  • Zukunft von AyoCraft 2024

    46 Antworten, Vor einem Jahr
  • Ayo Update Releasedatum

    8 Antworten, Vor 8 Monaten

Benutzer online in diesem Thema

  • 1 Mitglied (davon 1 unsichtbar)
  1. Datenschutzerklärung
  2. Kontakt
  3. Impressum
Community-Software: WoltLab Suite™
Stil: ShapeShifter von cls-design
Stilname
ShapeShifter
Hersteller
cls-design
Lizenz
Kostenpflichtige Stile
Hilfe
Supportforum
cls-design besuchen